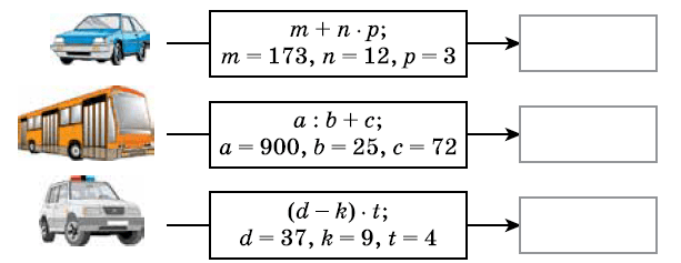
Завдання:
Значення виразу — це відстань (у км), яку подолав транспортний засіб. Який з них подолав більшу відстань?

Розв'язок:
1) m + n · p = 173 + 12 • 3 =209 км
2) a : b + c = 900 : 25 + 72 = 108 км
3) (d - k) · t = (37 - 9) · 4 = 112 км
Відповідь: найбільшу відстань подолав синій автомобіль.
