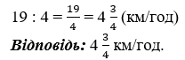
§ 37. Мішані числа № 1183 - 1215 Завдання № 1206 Завдання: Турист подолав 19 км за 4 год. З якою швидкістю він рухався? Розв'язок: Завдання № 1205 Завдання № 1205 Завдання № 1207 Завдання № 1207