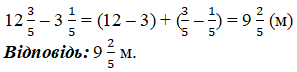
§ 39. Додавання і віднімання мішаних чисел № 1248 - 1279 Завдання № 1251 Довжина білої стрічки $12\frac{3}{5}$ м, а зеленої — на $3\frac{1}{5}$ м коротша. Яка довжина зеленої стрічки? Розв'язок: Завдання № 1250 Завдання № 1250 Завдання № 1252 Завдання № 1252