Повідомити про помилку
* - Обов'язкові поля
Відправити
ГДЗ Математика 5 клас Істер 2022
  1. ГДЗІстер5
  2. Розділ 3
  3. § 39. Додавання чисел
  4. 1265
§ 39. Додавання і віднімання мішаних чисел № 1248 - 1279

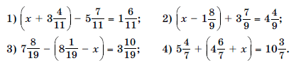
Завдання № 1265

Розв’яжи рівняння:

Завдання №1265

Розв'язок:

Відповідь до завдання № 1265

  • Завдання № 1264 Завдання № 1264
  • Завдання № 1266 Завдання № 1266
Повідомити про помилку
© 2026 GDZIster.com
  • Головна
  • Повторення
  • Розділ 1
    • § 1. Натуральні числа.
    • § 2. Порівняння
    • § 3. Округлення
    • § 4. Додавання
    • § 5. Віднімання
    • § 6. Множення
    • § 7. Властивості множення
    • § 8. Степінь
    • § 9. Ділення
    • § 10. Ділення з остачею
    • § 11. Числові вирази
    • § 12. Рівняння
    • § 13. Текстові задачі
    • § 14. Текстові задачі
    • § 15. Задачі та вправи
    • § 16. Відрізок
    • § 17. Промінь і пряма
    • § 18. Координатний промінь
    • § 19. Лінійні діаграми
    • § 20. Кут
    • § 21. Величина кута
    • § 22. Трикутник
    • § 23. Прямокутник
    • § 24. Рівність фігур
    • § 25. Площа прямокутника
  • Розділ 2
    • § 26. Дільники
    • § 27. Ознаки подільності
    • § 28. Ознаки подільності
    • § 29. Прості числа
    • § 30. Розкладання чисел
    • § 31. Найбільший дільник
    • § 32. НСК
  • Розділ 3
    • § 33. Звичайні дроби
    • § 34. Дріб як частка
    • § 35. Порівняння
    • § 36. Правильні дроби
    • § 37. Мішані числа
    • § 38. Додавання дробів
    • § 39. Додавання чисел
    • § 40. Десятковий дріб
    • § 41. Порівняння дробів
    • § 42. Округлення дробів
    • § 43. Додавання десяткових дробів
    • § 44. Множення десяткових дробів
    • § 45. Властивості множення
    • § 46. Ділення десяткового дробу
    • § 47. Ділення на дріб
    • § 48. Середнє арифметичне
  • § 49. Задачі та вправи
  • Для найдопитливіших
  • Домашні самостійні роботи
  • Додаткові теми
  • С та ДР (ЗОШИТ)
    • С-1
    • ДР-1
    • С-2
    • С-3
    • ДР-2
    • С-4
    • С-5
    • ДР-3
    • С-6
    • С-7
    • ДР-4
    • С-8
    • С-9
    • С-10
    • ДР-5
    • КР за І семестр
    • С-11
    • С-12
    • ДР-6
    • С-13
    • С-14
    • ДР-7
    • С-15
    • С-16
    • ДР-8
    • С-17
    • С-18
    • ДР-9
    • С-19
    • ДР-10
    • КР за ІІ семестр
    • ДР-11
  • Посібник
    • Вправи
      • Ⅰ. Узагальнення
      • ⅠⅠ. Натуральні числа
      • ⅠⅠⅠ. Подільність
      • Ⅳ. Дробові числа
      • Додаткові теми
    • САМОСТІЙНІ РОБОТИ
    • ДІАГНОСТИЧНІ РОБОТИ
    • ЕКСПРЕС-КОНТРОЛЬ