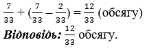
Завдання:
Діана першого дня прочитала 7/33 від обсягу книжки, а другого — на 2/33 менше. Яку частину книжки прочитала Діана за два дні?
Розв'язок:

Діана першого дня прочитала 7/33 від обсягу книжки, а другого — на 2/33 менше. Яку частину книжки прочитала Діана за два дні?
