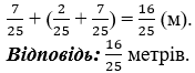
§ 38. Додавання і віднімання звичайних дробів з однаковими знаменниками № 1216 - 1247 Завдання № 1221 За першу годину равлик подолав $\frac{7}{25}$ м, а за другу — на $\frac{2}{25}$ м більше. Яку відстань подолав равлик за дві години? Розв'язок: Завдання № 1220 Завдання № 1220 Завдання № 1222 Завдання № 1222