Діагностична (контрольна) робота ДР-1 Варіант 2
(Сторінка 11)
- Запиши цифрами: дванадцять тисяч сімсот п’ятдесят.
А. 1275
Б. 12 705
В. 12 750✅
Г. 20 750
- Яке з поданих іменованих чисел найбільше?
А. 5 дм 3 см✅
Б. 5 дм 3 мм
В. 5 дм 2 см
Г. 5 дм 2 см 3 мм
- Запиши дробом, яку частину фігури зафарбовано.

А. $\frac{3}{7}$
Б. $\frac{10}{7}$
В. $\frac{3}{10}$
Г. $\frac{7}{10}$✅
- Укажи радіус кола, діаметр якого дорівнює 2 см 6 мм.
А. 26 мм
Б. 1 см 3 мм✅
В. 5 см 2 мм
Г. 1 см 4 мм
- Розв’яжи рівняння:
1) x – 13 296 = 8453
x = 8453 + 13 296
x = 21 749

2) x ‧ 29= 8932
x = 8932 : 29
x = 308

- Подай у кілограмах і грамах:
1) 2070 г = 2 кг 70 г;
2) 4382 г = 4 кг 382 г.
- Знайди значення виразу (187 + 8164 : 26) ‧ 97.
(187 + 8164 : 26) ‧ 97 = (187 + 314) ‧ 97 = 501 ‧ 97 = 48 597.

- Підприємець за два дні продав 56 кг гранатів. Першого дня він продав $\frac{3}{7}$ цієї кількості. На скільки менше кілограмів гранатів продав підприємець першого дня, ніж другого?
1) 3 ‧ 56 : 7 = 24 (кг) – продав за перший день;
2) 56 – 24 = 32 (кг) – продав за другий день;
3) 32 – 24 = 8 (кг).

Відповідь: підприємець першого дня продав на 8 кг гранатів менше ніж другого.
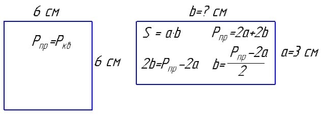
- Квадрат зі стороною 6 см має такий самий периметр, що й прямокутник. Одна зі сторін прямокутника дорівнює 3 см. Знайди площу прямокутника.
1) 6 + 6 + 6 + 6 = 6 ‧ 4 = 24 (см) – периметр квадрата;
2) (24 – 3 ‧ 2) : 2 = (24 – 6) : 2 = 18 : 2 = 9 (см) – друга сторона прямокутника;
3) 3 ‧ 9 = 27 (см2) – площа прямокутника.

Відповідь: площа прямокутника дорівнює 27 см2.
