Діагностична (контрольна) робота ДР-1 Варіант 3
(Сторінка 12)
- Запиши цифрами: п’ятнадцять тисяч триста шістдесят.
А. 15 360✅
Б. 1536
В. 50 360
Г. 15 306
- Яке з поданих іменованих чисел найбільше?
А. 5 м 2 дм
Б. 5 м 3 см
В. 5 м 3 дм✅
Г. 5 м 2 дм 3 см
- Запиши дробом, яку частину фігури зафарбовано.

А. $\frac{8}{3}$
Б. $\frac{3}{5}$
В. $\frac{5}{8}$
Г. $\frac{3}{8}$✅
- Укажи радіус кола, діаметр якого дорівнює 2 см 8 мм.
А. 26 мм
Б. 1 см 3 мм
В. 5 см 2 мм
Г. 1 см 4 мм✅
- Розв’яжи рівняння:
1) x – 12 474 = 9185
x = 9185 + 12 474
x = 21 659

2) 23 ‧ x = 7038
x = 7038 : 23
x = 306

- Подай у кілограмах і грамах:
1) 5382 г = 5 кг 382 г;
2) 6017 г = 6 кг 17 г.
- Знайди значення виразу (185 + 9984 : 24) ‧ 87.
(185 + 9984 : 24) ‧ 87 = (185 + 416) ‧ 87 = 601 ‧ 87 = 52 287.

- Бригада майстрів установила 54 дитячих майданчики протягом двох тижнів. Першого тижня вона встановила $\frac{5}{9}$ цієї кількості. На скільки менше майданчиків було встановлено другого тижня, ніж першого?
1) 5 ‧ 54 : 9 = 30 (майд.) – побудували за перший тиждень;
2) 54 – 30 = 24 (майд.) – побудували за другий тиждень;
3) 30 – 24 = 6 (майд.).

Відповідь: другого тижня було встановлено на 6 дитячих майданчиків менше, ніж першого.
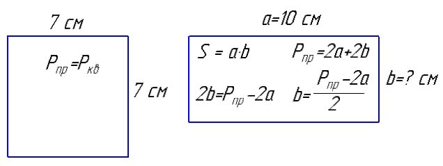
- Квадрат і прямокутник мають однакові периметри. Сторона квадрата дорівнює 7 см, а одна зі сторін прямокутника – 10 см. Знайди площу прямокутника.
1) 7 + 7 + 7 + 7 = 7 ‧ 4 = 28 (см) – периметр квадрата;
2) (28 – 10 ‧ 2) : 2 = (28 – 20) : 2 = 8 : 2 = 4 (см) – друга сторона прямокутника;
3) 10 ‧ 4 = 40 (см2) – площа прямокутника.

Відповідь: площа прямокутника дорівнює 40 см2.
