Діагностична (контрольна) робота ДР-1 Варіант 4
(Сторінка 13)
- Запиши цифрами: сімнадцять тисяч двісті тридцять.
А. 1723
Б. 70 230
В. 17 203
Г. 17 230✅
- Яке з поданих іменованих чисел найбільше?
А. 3 дм 6 см
Б. 3 дм 7 см✅
В. 3 дм 7 мм
Г. 3 дм 6 см 7 мм
- Запиши дробом, яку частину фігури зафарбовано.

А. $\frac{10}{3}$
Б. $\frac{7}{10}$
В. $\frac{3}{10}$✅
Г. $\frac{3}{7}$
- Укажи діаметр кола, радіус якого дорівнює 2 см 6 мм.
А. 5 см 2 мм
Б. 26 мм
В. 1 см 3 мм
Г. 5 см 4 мм
- Розв’яжи рівняння:
1) x – 13 487 = 9162
x = 9162 + 13 487
x = 22 649.

2) x ‧ 27= 8316
x = 8316 : 27
x = 308.

- Подай у кілограмах і грамах:
1) 5009 г = 5 кг 9 г;
2) 2758 г = 2 кг 758 г.
- Знайди значення виразу (186 + 8848 : 28) ‧ 89.
(186 + 8848 : 28) ‧ 89 = (186 + 316) ‧ 89 = 502 ‧ 89 = 44 678.

- Велосипедистка протягом двох годин подолала 32 км. За першу годину вона подолала $\frac{3}{8}$ цієї відстані. На скільки більшу відстань подолала велосипедистка за другу годину, ніж за першу?
1) 32 ‧ 3 : 8 = 12 (км) – подолала за першу годину;
2) 32 – 12 = 20 (км) – подолала за другу годину;
3) 20 – 12 = 8 (км).

Відповідь: на 8 км.
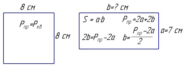
- Прямокутник і квадрат мають однакові периметри. Одна зі сторін прямокутника дорівнює 7 см, а сторона квадрата – 8 см. Знайди площу прямокутника.
1) 8 + 8 + 8 + 8 = 8 ‧ 4 = 32 (см) – периметр квадрата;
2) (32 – 7 ‧ 2) : 2 = (32 – 14) : 2 = 18 : 2 = 9 (см) – друга сторона прямокутника;
3) 7 ‧ 9 = 63 (см2) – площа прямокутника.

Відповідь: площа прямокутника дорівнює 63 см2.
