Річна діагностична робота ДР-11 Варіант 1
(Сторінка 92)
- Який із дробів більший за дріб $\frac{15}{19}$?
А. $\frac{12}{19}$
Б. $\frac{7}{19}$
В. $\frac{16}{19}$✅
Г. $\frac{13}{19}$
-
Знайди периметр прямокутника, сторони якого дорівнюють 5 см і 4,2 см.
P = (5 + 4,2) · 2 = 9,2 · 2 = 18,4
А. 21 см
Б. 20,5 см
В. 9,2 см
Г. 18,4 см✅
- Запиши у вигляді десяткового дробу число 7 $\frac{9}{100}$.
А. 7,09✅
Б. 7,9
В. 9,07
Г. 9,7
- Знайди корінь рівняння 20,93 : х = 2,6.

А. 7,05
Б. 8,05✅
В. 7,3
Г. 8,5
- Побудуй кут, градусна міра якого 140°.

- Колоду завдовжки 360 см розпиляли на дві частини, довжина однієї з яких складає $\frac{3}{10}$ від довжини колоди. Знайди довжину цієї частини.
360 · 0,3 = 108 (см) – довжина частини.
Відповідь: 108 см.
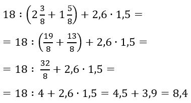
- Обчисли значення виразу

-
З двох селищ, відстань між якими 51,75 км, одночасно назустріч один одному виїхали два велосипедисти. Швидкість одного з них 16,9 км/год, а другого – на 0,7 км/год більша. Через скільки годин вони зустрінуться?
1) 16,9 + 0,7 = 17,6 (км/год) – швидкість другого.
2) 16,9 + 17,6 = 34,5 (км/год) – швидкість зближення.
3) 51,75 : 35,4 = 1,5 (год)

Відповідь: вони зустрінуться через 1,5 год.
-
Знайди найбільше чотирицифрове число, кратне числу 52.
Найбільше чотирицифрове число – це 9999.
1) 9999 : 52 = 192 (ост. 15)
2) 192 · 52 = 9984

Відповідь: 9984.
