Діагностична (контрольна) робота ДР-7 Варіант 3
(Сторінка 66)
- Запиши число п’ять дев’ятих у вигляді дробу.
А. $\frac{5}{19}$
Б. $\frac{19}{5}$
В. $\frac{5}{9}$✅
Г. $\frac{9}{5}$
-
Укажи дріб, який менший від дробу $\frac{4}{11}$.
А. $\frac{5}{11}$
Б. $\frac{3}{11}$✅
В. $\frac{6}{11}$
Г. $\frac{8}{11}$
- З дробів $\frac{6}{6}$; $\frac{3}{11}$; $\frac{7}{1}$; $\frac{2}{9}$; $\frac{5}{4}$; $\frac{1}{3}$ вибери всі неправильні.
А. $\frac{6}{6}$; $\frac{7}{1}$; $\frac{5}{4}$✅
Б. $\frac{7}{1}$; $\frac{5}{4}$
В. $\frac{3}{11}$; $\frac{2}{9}$; $\frac{1}{3}$
Г. $\frac{6}{6}$; $\frac{3}{11}$; $\frac{7}{1}$; $\frac{2}{9}$; $\frac{1}{3}$
- Подай неправильний дріб $\frac{25}{7}$ у вигляді мішаного числа.
А. 4 $\frac{1}{7}$
Б. 4 $\frac{3}{7}$
В. 3 $\frac{6}{7}$
Г. 3 $\frac{4}{7}$✅
- У класі навчається 30 учнів. $\frac{9}{10}$ з них взяли участь у математичному конкурсі «Кенгуру». Скільки учнів класу стали учасниками «Кенгуру»?
30 · 9 : 10 = 27 (уч.) – стали учасниками «Кенгуру»
Відповідь: 27 учнів.
- Обчисли:

- У 5-А класі німецьку мову вивчають 10 учнів, що складає $\frac{2}{5}$ від кількості учнів класу. Скільки учнів у 5-А класі?
10 : 2 · 5 = 25 (уч.) – у 5-А класі.
Відповідь: 25 учнів.
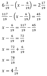
-
Розв’яжи рівняння:

-
При яких натуральних значеннях х дроби $\frac{x}{5}$ і $\frac{9}{(x+3)}$ обидва неправильні?
$\frac{x}{5}$ неправильний за умови: х ≥ 5. Тоді як $\frac{9}{(x+3)}$ неправильний за умови:
9 ≥ х + 3
3 + 6 ≥ х + 3
6 ≥ х
Спільна умова: 5 ≤ х ≤ 6
Відповідь: при 5 ≤ х ≤ 6.
